Байесовский и частотный методы оценки мастерства в размещении пари

В сегодняшнем материале мы рассмотрим разные подходя для оценки мастерства игрока на ставках и узнаем разницу между ними. Также поговорим о степени случайности в размещении пари и ее влиянии на уровень подготовки прогнозиста.
Для игрока на ставках лишь две вещи являются базовыми для достижения успеха - везение и его собственное мастерство. Некоторые участники игрового сообщества слишком недооценивают влияние удачи на их результаты, а некоторые склонны слишком переоценивать свои силы в прогнозировании и приписывают себе те качества, которых в их арсенале нет. Сегодня мы и поговорим о том, какими методами можно оценить мастерство человека в прогнозировании и как разные подходы влияют на итоговые результаты.
Игроки на ставках для успешного прогнозирования могут пользоваться теоремой Байеса, которая повышает точность оценки вероятностей и помогает в поисках положительного математического ожидания. Также есть вариант использования частотного подхода (т-критерия), который в чем-то схож с байесовским методом, но имеет свои особенности. Предлагаем сравнить эти два способа получения прибыли на ставках и выявить их преимущества и недостатки.
Степени убеждения
Относительно теории вероятности теорема Байеса предполагает, что одно событие случится при условии, что уже произошло другое. Допустим, что вы опытный игрок на ставках и на 50% убеждены в поиске выгодного коэффициента на матч. Однако при выигрыше подобной ставки вы не сможете понять степень влияния вашего мастерства на итог. То есть, вы не в состоянии оценить потенциал пари по отношению к своему мастерству в данном случае.
Данная теорема формализует связь между априорной вероятностью (до получения доказательства) и апостериорной (с учетом доказательства). Выразить это можно с помощью следующей формулы:
(equation) - Р (А/В) = Р(А) * Р(В/А) / Р(В)
Где, Р(А) - априорная вероятность вашей опытности;
Р(В) - априорная вероятность выигрышности вашего пари;
Р(В/А) - вероятность того, что выигрышность пари зависит от вашей опытности;
Р(А/В) - вероятность того, ваша опытность зависит от выигрышности пари.
Предлагаем рассмотреть на примере такую теорию.Предположим, что опытный беттор выигрывает по 110% в своих пари.Для пари «один к одному» это будет означать 55 выигрышных ставок из 100 заключенных.Получается, что Р(В/А) будет равняться 55%.
Теперь предположим, что неопытный игрок выигрывает 50% ставок «один к одному» и вероятность Р(В) будет иметь такой же показатель.Но здесь можно допустить, что у него есть априорные убеждения, что вероятность его опытности составляет 50% и теперь значение Р(В) увеличится до 52.5% (среднее значение между 50% и 55%).
При «заходе» подобного пари ставим значения в нашу формулу Байеса и получаем апостериорную вероятность Р(А/В) = 52.38%. Это склоняет чашу весов в пользу того, что здесь более сильно влияние мастерства игрока, чем везения.Подобную практику можно применять не один раз.Получившееся значение апостериорной вероятности становится априорной вероятностью для следующего расчета и так далее.При выигрыше следующего пари потенциальная опытность игрока возрастет до показателя в 54.75%. Количество повторов не ограничено и так можно делать до бесконечности.Мы составили график, где указаны расчеты для 1 000 предполагаемых пари по подобной методике.Синяя линия показывает историю ставок, а красная указывает на вероятность опытности игрока после каждого пари.

Теперь посмотрим, как станут выглядеть показатели, если изменить априорную вероятность всего на один процент.

Здесь становится понятным, что опытность в данном контексте становится чем-то субъективным. Вполне возможно, что при выигрышах в 105% по ставкам беттор может считаться профессионалом при условии, что таких показателей он добьется после 10 000 заключенных пари. Размер выборки в подобных исследованиях очень важен и закон малых чисел подтвердит вам это. Также неясным остается момент, когда непросто высчитать значение Р(В) после каждого повтора и обновления показателя Р(А).
Несмотря на некоторые пробелы в этом методе, с его помощью можно получить интуитивную оценку вероятности и способность игрока получать прибыль на длительной дистанции.

Степени случайности
Метод Байеса предполагает вероятность теории опытности с учетом определенного набора данных (побед и поражений в ставках). Частотный подход, в свою очередь, основывается на частоте подобных данных, учитывая саму теорию. Здесь уже гипотеза об опытности является фиксированной: либо она составляет 100% (истинная), либо 0% (ложная).
В большинстве случаев расчеты частотного метода начинаются с ложной гипотезы об опытности игрока и предполагают лишь влияние везения на успех в прогнозировании. После этого рассчитывается р-значение, которое выражает относительность истинности предполагаемой гипотезы. Потом показатели сравниваются и делаются окончательные выводы.
График ниже демонстрирует сравнение динамики изменений байесовской вероятности предполагаемой опытности игрока с исходным априорным убеждением. При значении в 50% (красная линия) и изменениями р-показателя частотного подхода становится видно, как выглядит потенциальный уровень мастерства (зеленая линия).

Показатели ниже демонстрируют сравнение частотного метода и метода с помощью теоремы Байеса. За основу здесь берем значение исходного априорного убеждения опытности в 1% (вместо 50%).

Становится очевидным, что в данном случае т-критерий дает нам больше уверенности в собственной опытности, чем байесовский подход, который более консервативен. Здесь ясно видно, что после серии из 700 ставок т-критерий выявил лишь 3%-ную вероятность влияния везения, в то время, как теорема Байеса не дает таких точных выводов и выглядит менее эффективной.
Ожидаемый уровень мастерства
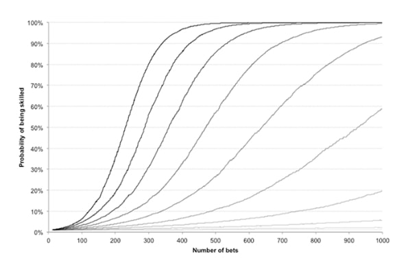
Для получения более ясного представления о потенциальном мастерстве игрока на ставках хорошо подходит моделирование по методу Монте-Карло. График ниже демонстрирует результаты изменения значений байесовской вероятности предполагаемой опытности после серии из 1 000 пари. В основе здесь лежит расчет медианных показателей после каждого последовательного пари.

Ставки на гандикапах в этом случае считаются наиболее эффективными и в подобных условиях можно достигнуть доходности в 110%. Наш последний график показывает набор р-значений из той же серии в 1 000 ставок при десяти гипотетических долей выигрыша. Более темная кривая повышает долю побед (от 51 до 60%).

При выигрышах в 57% р-значение<5% достигается через 200 повторений, тот же показатель <1% - после 335 пари. Это не дает нам особой информации об уровне мастерства, но демонстрирует влияние везения в истории ставок. Подобный метод имеет немало полезных функций и применим к расчетам наравне с байесовской моделью. Не стоит лишь забывать о том, что несколько выигрышей подряд не говорят о том, что вы в курсе, что делаете.



