Использование коэффициента Байеса при проверке мастерства в размещении пари. Часть вторая.

Во второй части нашего материала мы расскажем о том, как именно коэффициент Байеса применяется в спортивных ставках для оценки мастерства игрока. Также поговорим об анализе сводки результатов пари, ценности линии закрытия и недостатках этого метода.
В первой части нашего материала было изложено об общих параметрах коэффициента Байеса и способах его вычисления. Теперь пришло время показать на практическом примере, как именно он помогает определить мастерство участника игрового сообщества, если оно имеет место быть. Попытаемся ответить на главный вопрос, интересующий всех игроков из мира ставок - влияет ли их мастерство на размер прибыли или нет?
Как коэффициент Байеса влияет на анализ сводки результатов пари
Для выявления мастерства игрока проще всего сравнить результаты его деятельности с ожиданиями букмекера. Использование коэффициента Байеса может помочь в этом случае понять истинный уровень подготовки прогнозиста, ведь с его применением можно добиться несколько лучших итоговых показателей прибыли, чем без него.
График ниже демонстрирует показатели вероятности (LR) и Байеса (BF), которые были получены с помощью NORDMIST в Excel. При условии 1 000 пари от игрока на азиатский гандикап с котировками 1.95 по каждому и предполагаемой величиной прибыли в 5% (Н1). Маржа букмекера при этом будет составлять 2.5%, как в компании Pinnacle, в которой этот показатель самый низкий. За вероятность выигрыша возьмем значение в 50% (Н0). График показывает изменение коэффициентов LR и BF в зависимости от доходности.

При ожидаемом доходе в 5%, BF = 13.7 и LR = 19.3. Это говорит в пользу того, что игрок, вероятнее всего, обладает определенным уровнем мастерства, а не ему просто повезло на такой длительной дистанции. Однако есть еще один вариант проверить это предположение о наличии у человека опыта прогнозиста. Предположим, что ему нужно добиться прибыли не в 5%, а в 7.4% при той же выборке из 1 000 ставок (Н1 = 7.4%).
Однако стоит помнить, что коэффициент Байеса позволяет лишь сравнивать вероятности двух предположений, но не говорит об истинности одного из них. Следующий график демонстрирует изменение значений LR и BF при увеличении выборки ставок.

Стоит отметить, что изменение котировок в значительной мере влияет на окончательные показатели. Коэффициент события 5.00 при ожидаемой прибыли в 5% с Н1 = +5% и Н0 = -2.5% для выборки из 1 000 ставок снижает значение величина Байеса до уровня 2.89. Получается, что более высокие котировки увеличивают неопределенность и разброс результатов.
Нельзя полностью исключить возможность удачного стечения обстоятельств даже на столь высокой выборке. Однако для достижения показателя BF = 100 при р-значении +4.57% потребуется сделать 3 500 ставок.

Как коэффициент Байеса влияет на подтверждение адекватности той или иной модели ставок
Коэффициент Байеса позволяет проверять адекватность модели прогнозирования. Когда результаты игрока наиболее сильно приближены к ожидаемым (прогнозным), то подобный метод ставок считается адекватным. Имея в наличии показатели ожидаемой величины истории ставок (Н0), можно провести сравнение с фактическим доходом (Н1). Чем ближе друг к другу находятся эти данные, тем выше адекватность избранной модели размещения.
Схема ниже показывает изменение коэффициентов вероятности и Байеса после каждого пари. Не самые высокие результаты после серии из 1 000 ставок говорят о том, что не исключена ошибка при выборе модели прогнозирования. Однако с увеличением выборки оба коэффициента LR и BF незначительно отклонились от единицы и стало понятно, что ожидаемый доход составил 4.18% при фактическом в 4.02%.

Гипотеза о ценности линии закрытия. Проверка с помощью коэффициента Байеса
Многие профессионалы из мира ставок в курсе, что «линия закрытия» (CLV) отображает в большинстве случаев наиболее истинные котировки на событие. Эти данные можно использовать для прогнозирования фактической прибыли от заключения пари. График ниже демонстрирует суммарную ожидаемую ценность линии закрытия, то есть среднее значение для всех предыдущих пари. Здесь evH1 - это эквивалент дохода после каждой ставки и он постоянно обновляется.

Коэффициент Байеса несколько отличается по сути от коэффициента вероятности и график доказывает это наглядно. После 2 000 ставок проявляется разница между этими моделями определения эффективности прогнозирования.
Недостатки коэффициента Байеса
При всей эффективности коэффициента Байеса для определения уровня мастерства игрока на ставках, у него есть и недостатки. Главным из них является то, что они, все-таки, похож на частотное р-значение. Связано это с тем, что в основе двух методов лежит вероятность появления данных при условии истинности модели.
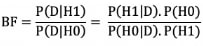
Но главным преимуществом байесовского метода считается его определение обратного эффекта - вероятность истинности гипотезы на основании полученных данных. Применение коэффициента Байеса недооценивают. Ниже представлено полное его выражение, учитывая истинность выбранной гипотезы:

где Р(НО) и Р(Н1) - априорные вероятности двух сравниваемых моделей или гипотез, Р(Н1/D) и Р(НО/D) - апостериорные значения величин НО и Н1 при имеющихся наблюдаемых данных.
При условии, когда Р(НО) = Р(Н1), получается, что одна теория более вероятна, чем другая. Однако изначально нам не известны, какие именно априорные вероятности модели являются истинными. В этом и заключается основной недостаток коэффициента Байеса, который ограничивает область его применения.
Но при получении большего количества данных можно определить с большей долей вероятности истинность той или иной модели. Отсюда можно сделать вывод, что в некоторых случаях байесовский метод определения мастерства игрока на ставках считается более эффективным, чем при использовании коэффициента вероятности.



