Использование коэффициента Байеса для проверки мастерства в размещении пари. Часть первая.

В сегодняшнем материале мы расскажем о коэффициенте Байеса и рассмотрим области его применения для оценки эффективности в ставках на спорт. Также рассмотрим случаи, когда результаты пари находятся в зависимости от фортуны, а когда - от мастерства.
В мире ставок на спорт представители игрового сообщества часто спорят о том, что важнее в этой области - благосклонность удачи или мастерство игрока. Джозеф Бухдаль попытался разобраться в этом вопросе и в нашей статье мы узнаем больше о результатах его исследований. Сегодня речь пойдет о коэффициенте Байеса и о его применении при заключении пари на спортивные события.
Коэффициент Байеса несколько отличается от остальных параметров оценки эффективности прогнозирования и позволяет провести сравнение между двумя противоположными гипотезами. Автор провел немало времени в поисках ответа на вопрос о том, как много нужно времени для оттачивания своего мастерства в прогнозировании и стоит ли вообще уделять этому фактору пристальное внимание или можно просто положиться на удачу и все.
Для оценки качеств игрока на ставках можно применить частотный и Байесовский методы, которые отличаются друг от друга. Первый при большой выборке ставок покажет отклонение в процентом отношении от стандартного значения, но не даст понять - действительно ли человек обладает мастерством прогнозирования или ему просто везет. А вот второй способ позволит определить такие показатели и высчитать их в количественном выражении.
Однако и здесь есть свои недостатки, главным из которых является зависимость конечных выводов от выбора исходной априорной вероятности. То есть, человек еще до начала карьеры игрока на ставках может посчитать себя профессионалом, что скажется на результатах исследований. Но давайте разберемся во всем по порядку.
Коэффициент Байеса
Данный метод позволяет рассчитать коэффициент вероятности двух противоположных предположений. То есть можно понять с большой долей вероятности, есть ли у человека мастерство или все его успехи связаны лишь с удачей. Основной целью коэффициента Байеса является оценка в количественном выражении одного из предположений относительно другого вне зависимости от их истинности. Математически все это выглядит следующим образом:

где Р - вероятность, D -данные, Н1 - гипотеза модели (к примеру, ожидаемость прибыли +5%, исходя из уровня собственного мастерства), НО - нулевая гипотеза (к примеру, мои навыки равны нулю и ожидания расцениваются величиной маржи букмекера -2.5%). Р(D|H) - математическое выражение «возможности наблюдения данных при условии истинности гипотезы».
Пример применения коэффициента Байеса
Давайте разберем применение коэффициента Байеса на простом примере. Допустим, что у нас есть монета и у нее имеется склонность выпадать одной стороной, но достоверно нам об этом неизвестно. Подбросив ее 10 раз, мы в семи случаях получили «орла» при приземлении. Значит, гипотеза Н1 предполагает выпадение «орла» в 70% против 30%. При равных долях выпадений 50% на 50% мы имели бы показатели НО. Однако при увеличении выборки до 100 попыток мы, к примеру, выходим на результаты 60 «орлов» и 40 «решек». Так какая же гипотеза в этом случае правильная?
Используя подход р - значения, можно было бы высчитать, что при отношении «орлов» к «решкам» 60 на 40 раз и при ожидании соотношения 50:50, результат будет 1.76%. Это довольно низкий врроень «предвзятости» монеты. Однако и при ожидании соотношения 70:30 эта величина будет лишь 2.10%, что говорит в пользу «честности» монеты. Оба варианта имеют статистическое значение на уровне 95% и вправе претендовать на достоверность.
Выше мы рассмотрели практическое применение коэффициента Байеса, который помогает высчитать в цифровом значении преимущество двух гипотез относительно друг друга. Если для каждой из них взять величину в 60 «орлов» при 100 подбрасываниях, то можно рассчитать окончательное значение по формуле:


Суть коэффициента Байеса
О чем же нам может поведать число 0.783? При значении коэффициента Байеса ниже единицы можно сказать, что монета ближе к «честности» (НО), чем к «предвзятости» (Н1). Ученый прошлого века Гарольд Джеффрис смог вычислить и предложил для использования шкалу, помогающую верно интерпретировать коэффициент Байеса. Показатели от единицы до трех говорят в пользу неподтвержденности доказательства преимущества гипотезы Н1 над НО. Цифры от трех до 10 показывают ее умеренное доказательство, а значения от 10 до 30 - убедительное.
А что, если вместо 60 выпадений «орла» мы получим 65? Как это повлияет на изменение коэффициента Байеса? Здесь нам поможет та же формула, которая поможет высчитать следующий результат:

Становится очевидным, что при подобных значениях «предвзятость» монеты выглядит более выраженной. График ниже демонстрирует изменение коэффициента Байеса (логарифмическое), учитывая величину видимых выпадений «орлов»:

Пример с подбрасыванием монеты и высчитыванием коэффициента Байеса в подобных условиях является довольно простым, если сравнивать это с котировками на спортивные события в ставках. При изменении коэффициентов становится очень сложно пользоваться биномальным распределением для расчета вероятности того или иного исхода. В данном случае нам пригодится формула, которая поможет выразить простую версию коэффициента Байеса, где он практически равнозначен вероятности, необходимой для правильного прогнозирования. Выглядит она следующим образом:

гдеу - фактический доход игрока, evH1 - ожидаемое значение для модели прогнозирования игрока (ожидаемый доход), evH0 - ожидаемая величина при нулевых гипотезах (маржа конторы), σH1 - среднеквадратическое отклонение для значения evH1, σH0 - идентичное отклонение для evH0.
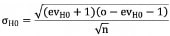
С помощью этой формулы можно смоделировать диапазон вероятных величин прибыльности ставок при использовании среднеквадратического отклонения:

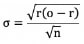
гдер - «истинная» возможность прохода вашего пари, о - котировки вашей ставки, а n - количество заключенных пари. Можно сделать некоторые перестановки в этой формуле и мы получим следующее:

гдеr - уровень при быльности вложений (у + 1). При значениях rH1 = evH1 + 1 и rH0 = evH0 + 1 мы получим такие варианты:

и

Мы используем деление одного значения плотности распределения вероятности на другое и в итоге получаем «чистый» коэффициент вероятности или коэффициент Байеса. Во второй части нашего материала мы рассмотрим применение данного значения относительно размещения ставок на спорт и как правильно пользоваться этими навыками для успешного прогнозирования и получения прибыли в долгосрочной перспективе.



